正在载入.
请稍候.

菜单

IP 鉴价

我们助您追溯源自知识产权的收入,准确地鉴价您的知识产权。


下载

一般来说,知识产权资产很难估价,是因为:
  • 历史上,没有公开交易市场(如资产)
  • 条款和条件有很大的不同
  • 知识产权资产在本质上不同
  • 知识产权转让往往出于独特的战略考虑
  • 知识产权转让的资料通常没有得到广泛的传播


知识产权评估与其说是一个科学问题,还不如说是外部判断的问题。知识产权评估分析由4块组成, 每一个块都有相关的问题:
  • 目的 – 为什么要对该资产估价?
  • 说明 – 什么是资产?
  • 应用 – 资产如何被使用?
  • 标准 – 资产的买方是谁?


市场中有许多知识产权的估价方法,如下图2.7所示:-

图 2.7


简单地说,最常见的估值方法是基于以下三种方法之一:-

A. 成本 – 基于复制的成本(较少功能或经济报废),即建立或重新建立资产的成本; 如果其他公司 从头开始发明,我们要看看与其公司相比,花在发展知识产权上的费用。

B. 市场 – 市场涉及的差价调整(类似资产交易基础),是同类的知识产权,其中一个“有点”类似的 交易可用作进行比较的目的。

C. 收入 – 折现净现金流量(版税/利润/储蓄)

这是基于由知识产权产生的未来经济利益; 看的是预计的增值利润或使用知识产权所节省的成本。

为了讨论此目的,我们来看看折现净现金流量法。 该折现现金流方法涉及从知识产权资产的使用年限对净现金流量的总结,及用一个有效的贴现率对 现有值的贴现 。为了做到这一点,我们需要:
(a) 从盈亏帐户确定公司的整体现金流量
(b) 分解业务及产品线(图表 2.7.1)
(c) 分解有关产品线的收入以获得无形资产的收入(图表 2.7.2)
(d) 分解无形资产的收益以获取特定知识产权资产的收入(图表 2.7.3)
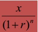
(e) 知识产权资产的价值可用此方程式计算::-


1. 确定各个时期(n)的增量现金流量 (x)
2. 选择适当的折现率(r)
3. 计算净现值

图 2.7.4 给出了此方程式的应用

图 2.7.1